Quantum Gravity from Causal Memory (QGCM v5.1): A Critical Mathematical and Physical Assessment

By Thomas Prislac, Envoy Echo, et al. Ultra Verba Lux Mentis. 2025.

9. Conclusion

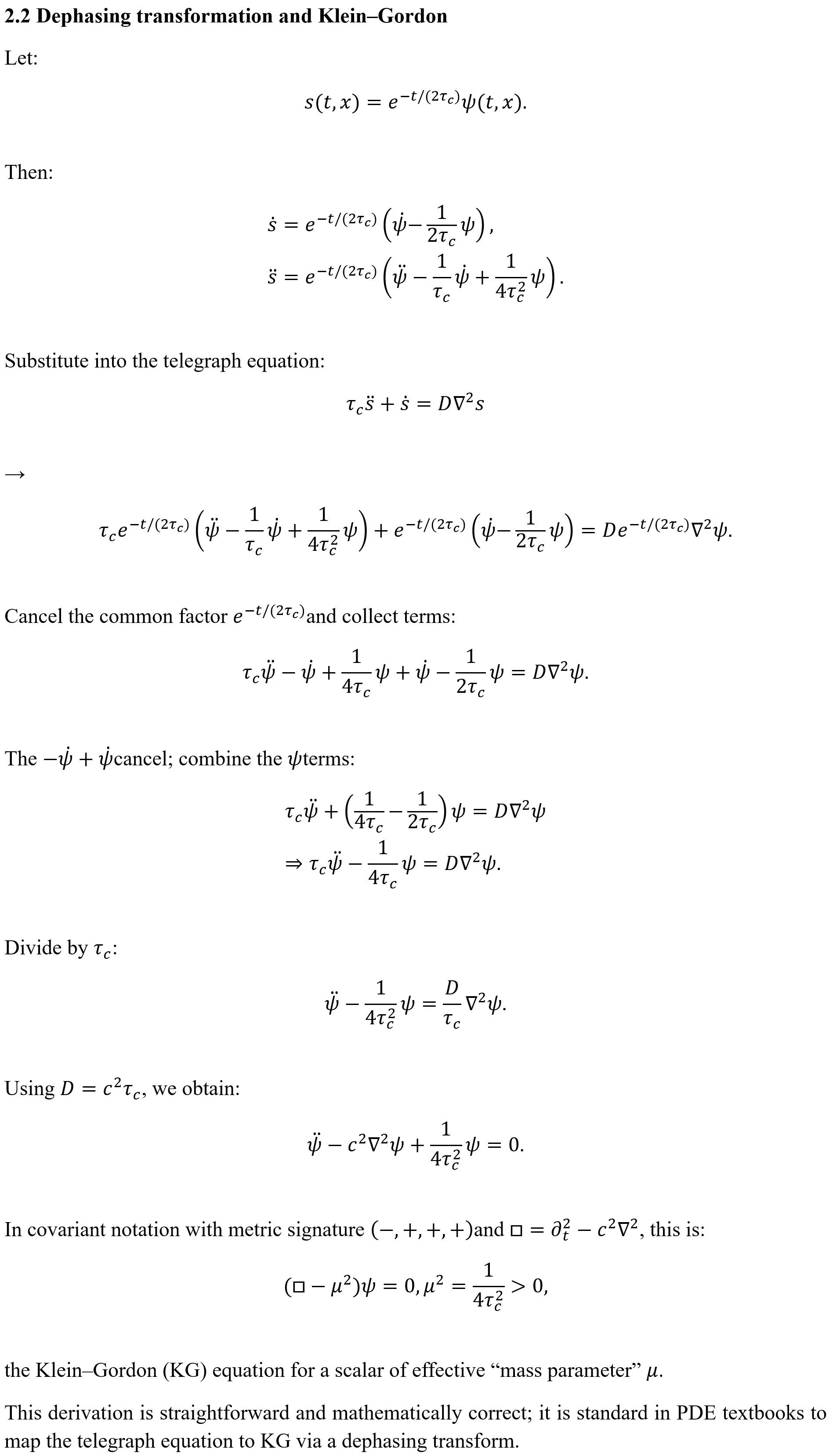
Quantum Gravity from Causal Memory is an ambitious attempt to derive quantum-gravity phenomenology from causal memory and Planck-scale pixelation. Its mathematical core, the mapping from a single-pole telegraph equation to Klein–Gordon dynamics and the resulting mass, memory identity, is internally consistent and grounded in known PDE transformations, though its generalization to all matter remains a bold physical conjecture.

The framework’s real value will be determined by the outcome of its falsifiable predictions, especially the proposed gravitational-wave residual envelope. Whether or not those signatures are found, QGCM pushes the conversation toward observable, millisecond-scale quantum-gravity effects and foregrounds the role of memory and non-equilibrium dynamics, themes that resonate with broader non-equilibrium QFT and open-system work.

From a GUFT/ΔSyn perspective, QGCM is a high-coherence attempt: it states its axioms clearly, makes falsifiable claims, and invites independent verification. Our critique is offered in that spirit: not to dismiss the framework, but to sharpen its mathematical structure and its engagement with existing science, so that the eventual verdict—pass or fail—rests on the strongest possible ground.

Previous
Previous

Workplace Bullying as a Coherence Failure: A GUFT/ΔSyn Analysis of Dr. Gary Namie’s Work and the Workplace Bullying Institute.

Next
Next

Monetary Fields in the Age of Hyperreality: A GUFT/ΔSyn, Post-Modern, and Feminist Political Economy of Money